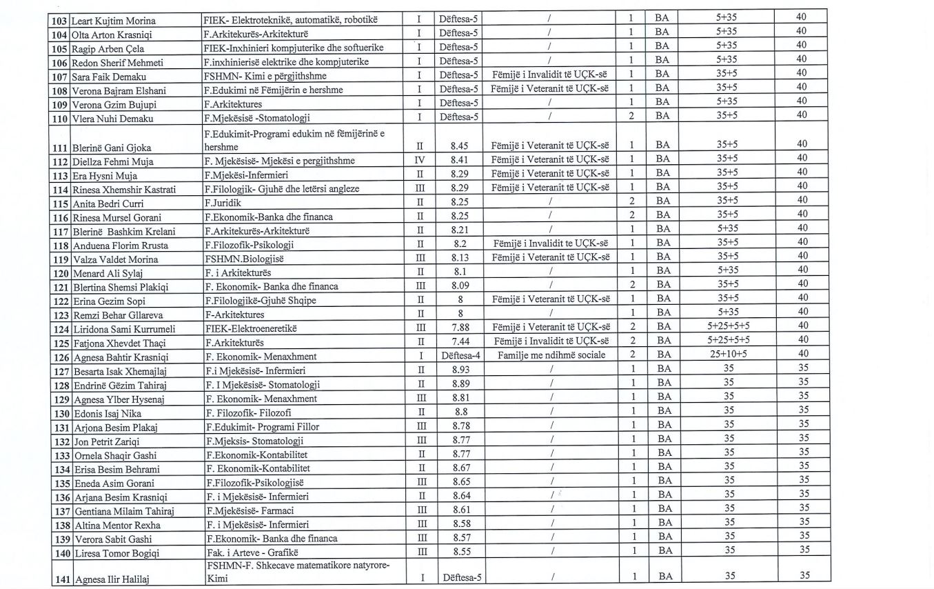
Këta janë 200 përfituesit e bursës nga Komuna e Drenasit
Njoftim për përfituesit e bursës komunale për studentet e vitit akademik 2025-2026
Të gjithë studentët përfitues të bursës komunale, sipas listës së përfituesve të bursës të datës 07.11.2025, njoftohen që prej numrit 1 deri 200 janë përfitues dhe kërkohet që brenda afatit prej 5 ditësh nga dita e shpalljes se listës, të dorëzojnë kopjet e letërnjoftimit dhe vërtetimin e llogarisë bankare në katin e dytë të objektit të Komunës në Drejtorinë Komunale të Arsimit.
Ndërsa të gjithë ata që mendojnë që ju është bërë e padrejtë, kanë të drejtën e ankesës brenda 5 ditësh nga dita e shpalljes së listës.
Faleminderit për mirëkuptim!


